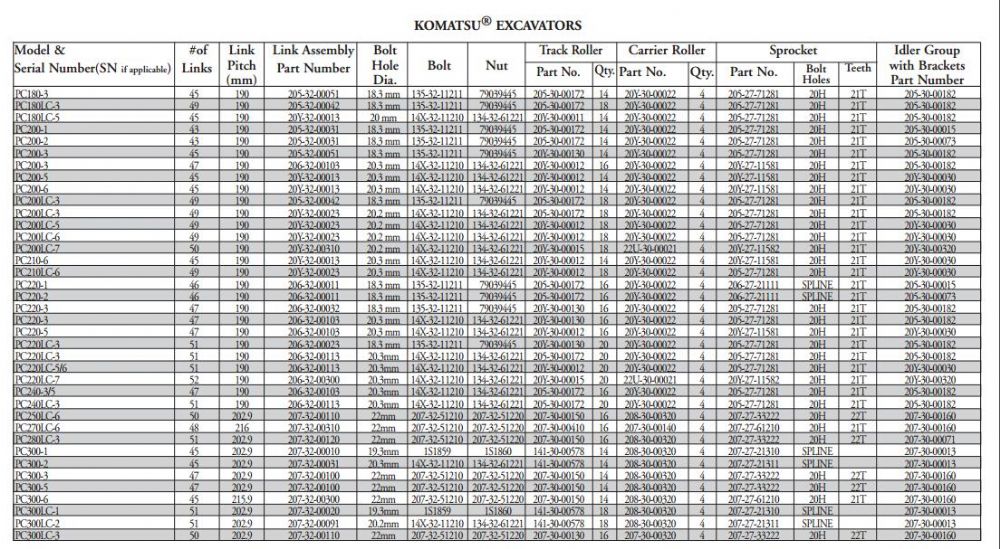
UNDERCARRIAGE PARTS












UNDERCARRIAGE PARTS This article is read 1386 Times
Next page:SWING CIRCLE |
Where are you now : Home > News |
![]() | olivia6949 |
![]() | carmen0426@live.cn |
![]() | 008613583786276 |
COPYRIGHT RESERVED:JINING DEBONS CONSTRUCTION MACHINERY CO.,LTD
TECHNICAL SUPPORT:SHANDONG GU GUO
LU ICP RECORD NO.17040645